Qualità dell'aria
Scheda del servizio
Come ogni anno, nel semestre invernale, sono in vigore le misure strutturali permanenti finalizzate alla riduzione delle emissioni inquinanti in atmosfera e al miglioramento della qualità dell'aria.
In particolare sono in vigore i provvedimenti di limitazione della circolazione per i veicoli più inquinanti. Le limitazioni sono state disposte con le dd.G.R. n. 7635/08, n. 9958/09, n. 2578/14, 7095/17 e dalla recente d.G.R. n.449/18 che ha approvato l’aggiornamento del PRIA Piano Regionale degli Interventi per la qualità dell'Aria.
E' qui inserito il link di rimando al sito della Regione Lombardia relativo al Piano Regionale degli Interventi per la qualità dell'Aria - P.R.I.A. (aggiornato al 2018) in cui sono contenuti numerosi interventi da tenere a livello regionale non strettamente inerenti il solo comue di Parona (ad titolo puramente esemplificativo s'informa della misura inerente la circolazione dei veicoli diesel Euro 3 in 214 Comuni della Provincia di Pavia, che vieterà:
- dal lunedì al venerdì, escluse quelle festive infrasettimanali,
- dalle ore 7,30 alle ore 19,30;
- dal 1 ottobre al 31 marzo di ogni anno, a partire dal 1 ottobre 2018.
I Comuni a noi vicini interessati da questo provvedimento sono Pavia, Vigevano, Borgarello, Carbonara al Ticino, Certosa di Pavia, Cura Carpignano, Marcignago, Mezzanino, San Genesio ed Uniti, San Martino Siccomario, Sant'Alessio con Vialone, Torre D'isola, Travacò Siccomario, Valle Salimbene.)
Sul sito della Regione sono presenti tutte le specifiche riguardanti tutte le limitazioni del traffico veicolare, le limitazioni delle emissioni inquinanti in ambito civile, le disposizioni inerenti la combustione in loco dei residui agricolo-forestali, e tutte le altre misure volte al miglioramento della qualità dell'aria.
In particolare sono in vigore i provvedimenti di limitazione della circolazione per i veicoli più inquinanti. Le limitazioni sono state disposte con le dd.G.R. n. 7635/08, n. 9958/09, n. 2578/14, 7095/17 e dalla recente d.G.R. n.449/18 che ha approvato l’aggiornamento del PRIA Piano Regionale degli Interventi per la qualità dell'Aria.
E' qui inserito il link di rimando al sito della Regione Lombardia relativo al Piano Regionale degli Interventi per la qualità dell'Aria - P.R.I.A. (aggiornato al 2018) in cui sono contenuti numerosi interventi da tenere a livello regionale non strettamente inerenti il solo comue di Parona (ad titolo puramente esemplificativo s'informa della misura inerente la circolazione dei veicoli diesel Euro 3 in 214 Comuni della Provincia di Pavia, che vieterà:
- dal lunedì al venerdì, escluse quelle festive infrasettimanali,
- dalle ore 7,30 alle ore 19,30;
- dal 1 ottobre al 31 marzo di ogni anno, a partire dal 1 ottobre 2018.
I Comuni a noi vicini interessati da questo provvedimento sono Pavia, Vigevano, Borgarello, Carbonara al Ticino, Certosa di Pavia, Cura Carpignano, Marcignago, Mezzanino, San Genesio ed Uniti, San Martino Siccomario, Sant'Alessio con Vialone, Torre D'isola, Travacò Siccomario, Valle Salimbene.)
Sul sito della Regione sono presenti tutte le specifiche riguardanti tutte le limitazioni del traffico veicolare, le limitazioni delle emissioni inquinanti in ambito civile, le disposizioni inerenti la combustione in loco dei residui agricolo-forestali, e tutte le altre misure volte al miglioramento della qualità dell'aria.
Documenti - Normativa
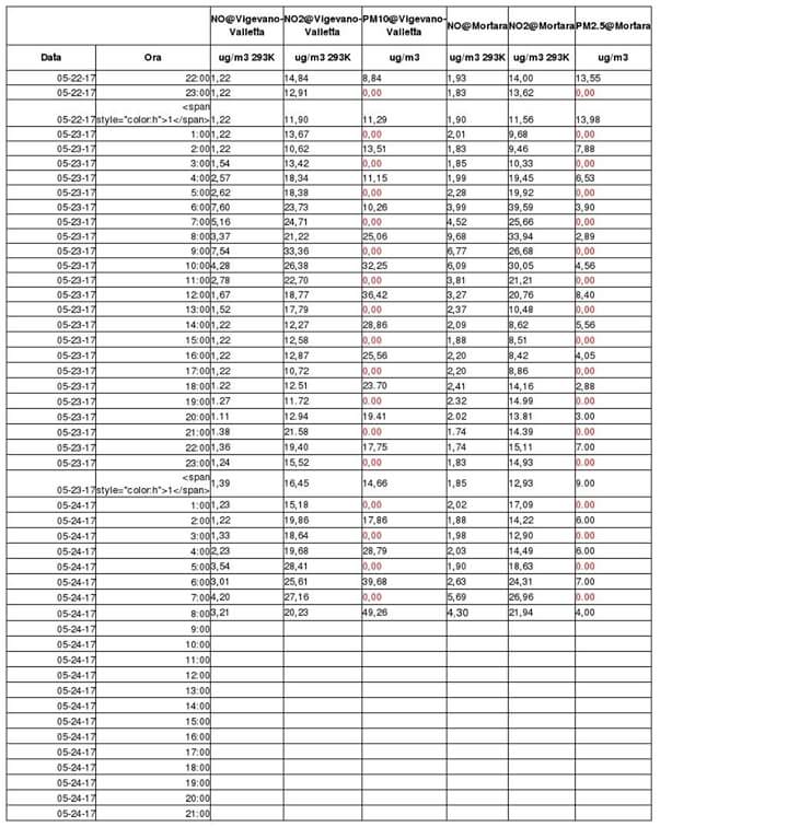
- DATI INCENDIO ABONECO-aggiornamento 23.05.2017[.xlsx 12,85 Kb - 24/05/2017]
- Dati incendio Aboneco - ulteriore aggiornamento[.jpg 73,53 Kb - 24/05/2017]
- Relazione ARPA incendio Aboneco 16.06.2017[.pdf 687,68 Kb - 21/06/2017]
- PRIA 2018 - ESEMPI DI LIMITAZIONI ALLA CIRCOLAZIONE [.pdf 358,94 Kb - 21/09/2018]
- PRIA 2018 - ESEMPI DI LIMITAZIONI ALL'UTILIZZO DI STUFE E CAMINETTI[.pdf 696,66 Kb - 21/09/2018]
Link
Ultimo aggiornamento pagina: 21/09/2018 14:07:46